+7 (800) 505-63-73
Пн - Пт: с 09:00 до 18:00
Пн - Пт: с 09:00 до 18:00
+7 (800) 505-63-73
Скрытая решетка в натяжной потолок VLLS-F со съемными ламелями
Скрытая решетка в натяжной потолок VLLS-F со съемными ламелями
Скрытая решетка в натяжной потолок VLLS-F со съемными ламелями
Скрытая решетка в натяжной потолок VLLS-F со съемными ламелями
Скрытая решетка в натяжной потолок VLLS-F со съемными ламелями

Скрытая решетка в натяжной потолок VLLS-F со съемными ламелями

0
Нет отзывов
Артикул: 4126
Поделиться списком
Ширина (мм)
X
Высота (мм)
Секция:
F1
E1
M
Наличие фильтра:
Фильтр
БЕЗ ДОПОЛНИТЕЛЬНОЙ КОМПЛЕКТАЦИИ
Цвет по RAL: RAL 9016
RAL 9016
Без покраски
RAL по факту
Выбрать другой цвет
Характеристики
Производитель ООО "ЗАВОД ВРК"
Серия решетки VENTLINE
Регулировка Нерегулируемая
Бренд THE GRILLES
Форма Прямоугольные
Материал Алюминий
Конструкция Разборная
Предоплата 100%
КЖС 0.55
Количество щелей Y-образные ламели
Все характеристики
2 273
В корзину
Быстрый подбор в Telegram
Наш технический специалист поможет выбрать идеальную конфигурацию
Собственное производство
До 1000 выпускаемых единиц в день
Быстрая доставка по России

Скрытая решетка в натяжной потолок VLLS-F со съемными ламелями

 

Скрытый монтаж в натяжной потолок
Назначение: приток / вытяжка.
Место установки: жилые и общественные помещения.
Этап отделки: черновая отделка.
Совместимость: любое полотно (ПВХ, ткань)

 

Особенности конструкции:

  • рама диффузора имеет специальный паз с резиновым уплотнителем (демпфером) для установки натяжного полотна;
  • демпфер имеет запатентованную форму, обеспечивающую надежную фиксацию полотна за счет прижимного «язычка», который жестко и надежно фиксирует полотно к профилю рамы диффузора без дополнительных средств фиксации, например, склеивания или спаивания полотна к гарпуну;
  • узкие ламели шириной 5,5 мм, образующие ровные щели шириной 10 мм;
  • съемное ламельное полотно;
  • любой размер с шагом 1 мм (минимальный – 200х100 мм, максимальный для VLL-F – 2000х1000 мм, для VLLS-F – 2000х500);
  • решетки со съемным полотном VLLS-F могут комплектоваться фильтром по запросу;
  • возможна дополнительная комплектация выравнивателем воздуха.
  • минимальный запас запотолочного монтажного пространства - 104 мм;
  • присоединение к воздуховодам 100, 125, 160, 200 мм, 204х55 мм, 110х55 мм, а так же системы BLAUFAST;
  • возможна модульная сборка в непрерывную линию из составных секций.

 

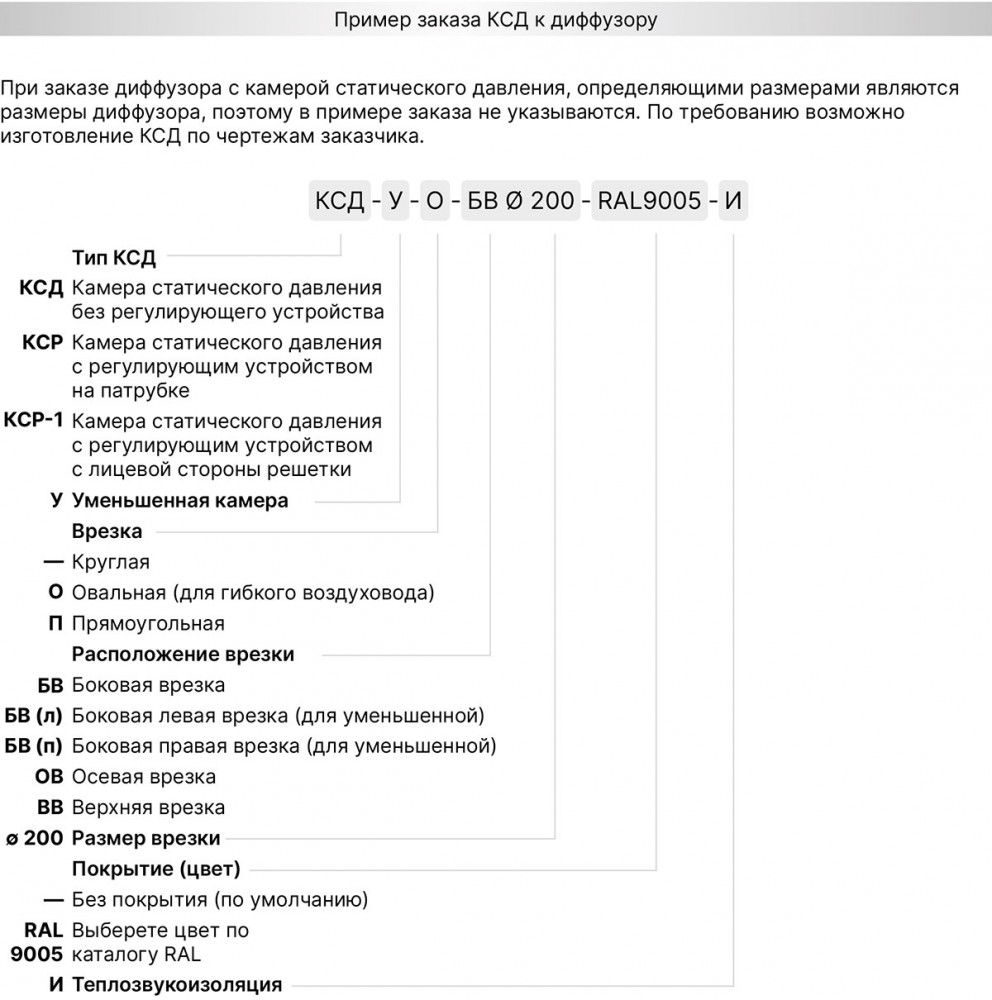
Камера статического давления. Для подключения диффузоров к системе вентиляции и кондиционирования используется камера статического давления (КСД или КСР). Она обеспечивает равномерное распределение воздушных масс через сечение решетки.
КСД состоит из стального корпуса с круглым патрубком для подсоединения к воздуховоду. КСР дополнительно оснащены устройством, регулирующим объем подаваемого воздуха, которое устанавливается во входном патрубке.
Статическая камера изготавливается из оцинкованной листовой стали 0,4 - 1,5 мм в зависимости от размера и пожелания заказчика. По умолчанию все изделия поставляются в неокрашенном виде.

 

 

Типы КСД:

  • КСД - стандартная камера с круглой врезкой;
  • КСД-У - уменьшенная камера с круглой врезкой;
  • КСД-У-О - уменьшенная камера с овальной врезкой;
  • КСД-У-П - уменьшенная камера с прямоугольной врезкой.

Уменьшенная камера статического давления позволяет максимально сохранить полезную площадь помещения за счет уменьшения монтажного пространства.

Размер монтажного пространства (W) напрямую зависит от размера подключаемого воздуховода - чем меньше воздуховод, тем меньше адаптер для диффузора. В каталоге приведены рекомендуемые размеры воздуховода, но по запросу заказчика возможно изготовить адаптер с любой врезкой.

 


Используемые материалы. Щелевые решетки VLL-F и VLLS-F изготавливаются из экструдированного алюминиевого профиля АД31 по ГОСТ 22233-2018. По умолчанию корпус решетки окрашивается в стандартный белый цвет RAL 9016М матовый, а внутреннее исполнение в чёрный цвет RAL9005М матовый. По индивидуальному заказу возможна окраска в любой цвет по шкале RAL. Статическая камера изготавливается из оцинкованной листовой стали 0,4 - 1,5 мм в зависимости от размера и пожелания заказчика. По умолчанию все изделия поставляются в неокрашенном виде.

 

 

 

 

 

 

 

 

 

Характеристики

  • Производитель
    ООО "ЗАВОД ВРК"
  • Серия решетки
    VENTLINE
  • Регулировка
    Нерегулируемая
  • Бренд
    THE GRILLES
  • Форма
    Прямоугольные
  • Материал
    Алюминий
  • Конструкция
    Разборная
  • Предоплата
    100%
  • КЖС
    0.55
  • Количество щелей
    Y-образные ламели
Этот товар из подборок
Отзывы покупателей
Добавить отзыв
Помогите другим пользователям с выбором - будьте первым, кто поделится своим мнением об этом товаре
Фотографии и видео покупателей
Без оценки

Оплата:
 

Оплата заказа юридическими и физическими лицами осуществляется на основании счёта/договора.

Доставка осуществляется при условии 100% предоплаты товара.

 

Доставка по Москве:
 

  • при заказе от 50 000 руб. доставка по Москве бесплатная.
  • при заказе на сумму менее 50 000 руб.  доставка рассчитывается в зависимости от зоны Москвы. Для расчета точной стоимости доставки необходимо обратиться к менеджерам по тел.: 8 (495) 730-63-73, 8 (926) 075-34-87, 8 (800) 505-63-73 (бесплатно со всех номеров).
     

Доставка по России:
 

Доставка до транспортной компании бесплатная, далее за счет покупателя.

График бесплатной доставки в транспортные компании:

  • Понедельник — Деловые линии, ПЭК.
  • Среда — любая ТК.
  • Пятница — Деловые линии, ПЭК.
     

Самовывоз:
 

Склад находится по адресу: Московская область, городской округ Мытищи, посёлок Кардо-Лента, ул. Садовая, д. 19

Пн - Чт.: с 09:00 до 18:00. Пт.: с 09:00 до 17:00

Похожие товары
Скрытая решетка в натяжной потолок VLL-F
Скрытая решетка в натяжной потолок VLL-F
Арт. 000207
Хит
Дизайнерский линейный диффузор для натяжного потолка VL-F
5
Дизайнерский линейный диффузор для натяжного потолка VL-F
Арт. 000191
Рассчитать стоимость
Получите бесплатный расчет стоимости через 10 минут в Telegram
Оставьте номер телефона. В течение дня мы подготовим вам варианты реализации и расчет стоимости.
Нужна консультация?
Наши специалисты ответят на любой интересующий вопрос
Задать вопрос